题目内容
已知P为抛物线
上任一点,则P到直线
距离的最小值为________。
【答案】
.
【解析】
试题分析:本题用点到直线距离公式把距离表示出来,然后求出最小值即可。
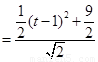
设抛物线上的P点的坐标为
,则P到已知直线的距离为![]()
![]()
,易知
时,
取得最小值
。
考点:点到直线的距离公式。
练习册系列答案
相关题目
题目内容
已知P为抛物线
上任一点,则P到直线
距离的最小值为________。
.
【解析】
试题分析:本题用点到直线距离公式把距离表示出来,然后求出最小值即可。
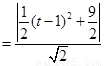
设抛物线上的P点的坐标为
,则P到已知直线的距离为![]()
![]()
,易知
时,
取得最小值
。
考点:点到直线的距离公式。