题目内容

已知椭圆的右焦点为,过点的直线交椭圆于两点.若的中点坐标为,则的方程为   (  )

A.       B. C.  D.

 

【答案】

D

【解析】

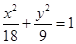
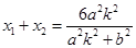
试题分析:由题意知,,利用点差法,设过点的直线(显然,斜率存在)为,交点联立椭圆方程得:,则,又的中点坐标为,即,故,又,所以,联立,所以椭圆方程为,选D.

考点:直线点斜式方程、椭圆方程.

 

练习册系列答案
相关题目

违法和不良信息举报电话:027-86699610 举报邮箱:58377363@163.com

精英家教网