题目内容

下列结论中 ①函数有最大值   ②函数)有最大值.  ③若,则正确的序号是____

 

【答案】

①③

【解析】

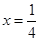
试题分析:函数对称轴为,故当时取到最大值,①正确;函数

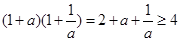
,因为,所以,②错误;因为,则,③正确.

考点:1、二次函数的最值;2、基本不等式.

 

练习册系列答案
相关题目

违法和不良信息举报电话:027-86699610 举报邮箱:58377363@163.com

精英家教网