搜索
题目内容
已知数列{a
n
}满足:a
1
=3,a
3
=9,b
n
=log
2
(a
n
-1),且数列{b
n
}为等差数列。
(1)求数列{a
n
}的通项公式;
(2)求和:
。
试题答案
相关练习册答案
解:(1)等差数列{b
n
}的首项为
,
公差
∴
即
∴
;
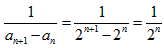
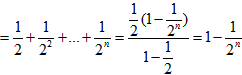
(2)∵
∴
。
练习册系列答案
金东方文化寒假在线系列答案
精彩假期寒假江苏人民出版社系列答案
开心假期寒假作业系列答案
快乐宝贝假期园地寒假系列答案
快乐过寒假江苏凤凰科学技术出版社系列答案
快乐寒假系列答案
快乐寒假寒假能力自测系列答案
快乐假期寒假生活系列答案
Happy holiday快乐假期寒假作业延边教育出版社系列答案
快乐练习寒假衔接优计划系列答案
相关题目
已知数列{a
n
}满足:a
1
=1且
a
n+1
=
3+4
a
n
12-4
a
n
, n∈
N
*
.
(1)若数列{b
n
}满足:
b
n
=
1
a
n
-
1
2
(n∈
N
*
)
,试证明数列b
n
-1是等比数列;
(2)求数列{a
n
b
n
}的前n项和S
n
;
(3)数列{a
n
-b
n
}是否存在最大项,如果存在求出,若不存在说明理由.
已知数列{a
n
}满足
1
2
a
1
+
1
2
2
a
2
+
1
2
3
a
3
+…+
1
2
n
a
n
=2n+1
则{a
n
}的通项公式
.
已知数列{a
n
}满足:a
1
=
3
2
,且a
n
=
3n
a
n-1
2
a
n-1
+n-1
(n≥2,n∈N
*
).
(1)求数列{a
n
}的通项公式;
(2)证明:对于一切正整数n,不等式a
1
•a
2
•…a
n
<2•n!
已知数列{a
n
}满足a
n+1
=|a
n
-1|(n∈N
*
)
(1)若
a
1
=
5
4
,求a
n
;
(2)若a
1
=a∈(k,k+1),(k∈N
*
),求{a
n
}的前3k项的和S
3k
(用k,a表示)
(2012•北京模拟)已知数列{a
n
}满足a
n+1
=a
n
+2,且a
1
=1,那么它的通项公式a
n
等于
2n-1
2n-1
.
关 闭
试题分类
高中
数学
英语
物理
化学
生物
地理
初中
数学
英语
物理
化学
生物
地理
小学
数学
英语
其他
阅读理解答案
已回答习题
未回答习题
题目汇总
试卷汇总
练习册解析答案