题目内容
(1)在等差数列{an}中,d=-(2)在等比数列{an}中,a1=2,S3=26,求an和Sn.
【答案】分析:(1)利用等差数列的通项公式和前n项和公式即可得出.
(2))利用等比数列的通项公式和前n项和公式即可得出.
解答:解:(1)∵等差数列{an}中,d=-
=8,∴
,解得a1=10.
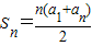
∴
=
.
∴
=
=
.
(2)设等比数列{an}的公比为q,由a1=2,S3=26,可知q≠1,得
,解得q=3或-4.
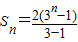
当q=3时,
,
=3n-1;
当q=-4时,
,
=
.
点评:熟练掌握等差数列的通项公式和前n项和公式、等比数列的通项公式和前n项和公式是解题的关键.
(2))利用等比数列的通项公式和前n项和公式即可得出.
解答:解:(1)∵等差数列{an}中,d=-
∴
∴
(2)设等比数列{an}的公比为q,由a1=2,S3=26,可知q≠1,得
当q=3时,
当q=-4时,
点评:熟练掌握等差数列的通项公式和前n项和公式、等比数列的通项公式和前n项和公式是解题的关键.
练习册系列答案
相关题目