题目内容
已知点P是圆F1:(x+1)2+y2=8上任意一点,点F2与点F1关于原点对称.线段PF2的中垂线m分别与PF1、PF2交于M、N两点.(1)求点M的轨迹C的方程;
(2)斜率为1的直线l与曲线C交于A,B两点,若
【答案】分析:(1)由题意判断点M的轨迹是以F1,F2为焦点的椭圆,进而可求点M的轨迹C的方程;
(2)设直线l的方程为y=x+n,代入椭圆方程,利用△>0及韦达定理,结合
=0,即可求得直线l的方程.
解答:解:(1)由题意得,F1(-1,0),F2(1,0),圆F1的半径为
,且|MF2|=|MP|…(1分)
从而
…(3分)
∴点M的轨迹是以F1,F2为焦点的椭圆,…(5分)
其中长轴
,得到
,焦距2c=2,则短半轴b=1
椭圆方程为:
…(6分)
(2)设直线l的方程为y=x+n,由
可得3x2+4nx+2n2-2=0…(8分)
则△=16n2-24(n2-1)>0,即n2<3①…(9分)
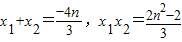
设A(x1,y1),B(x2,y2),则
由
可得x1x2+y1y2=0,即x1x2+(x1+n)(x2+n)=0…(10分)
整理可得
化简可得3n2=4,满足①式,故直线]l的方程为:
…(12分)
点评:本题考查椭圆的定义,考查椭圆的标准方程,考查直线与椭圆的位置关系,解题的关键是利用椭圆的定义,联立直线与椭圆方程,属于中档题.
(2)设直线l的方程为y=x+n,代入椭圆方程,利用△>0及韦达定理,结合
解答:解:(1)由题意得,F1(-1,0),F2(1,0),圆F1的半径为
从而
∴点M的轨迹是以F1,F2为焦点的椭圆,…(5分)
其中长轴
椭圆方程为:
(2)设直线l的方程为y=x+n,由
可得3x2+4nx+2n2-2=0…(8分)
则△=16n2-24(n2-1)>0,即n2<3①…(9分)
设A(x1,y1),B(x2,y2),则
由
整理可得
化简可得3n2=4,满足①式,故直线]l的方程为:
点评:本题考查椭圆的定义,考查椭圆的标准方程,考查直线与椭圆的位置关系,解题的关键是利用椭圆的定义,联立直线与椭圆方程,属于中档题.
练习册系列答案
相关题目