搜索
题目内容
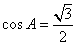
在△ABC中,已知
,求角A,B,C的大小。
试题答案
相关练习册答案
解:设
,
由
,所以
,
又A∈(0,π),因此
,
由
,
于是
,
所以,
,
因此
,
即
,
由
,知
,
从而
,
故
。
练习册系列答案
课课练与单元测试系列答案
世纪金榜小博士单元期末一卷通系列答案
单元测试AB卷台海出版社系列答案
黄冈新思维培优考王单元加期末卷系列答案
名校名师夺冠金卷系列答案
小学英语课时练系列答案
培优新帮手系列答案
天天向上一本好卷系列答案
小学生10分钟应用题系列答案
课堂作业广西教育出版社系列答案
相关题目
在△ABC中,已知A=30°,B=120°,b=12,求a,c.
在△ABC中,已知
b=
2
,c=1,B=45°,求a,A,C.
在△ABC中,已知高AN和BM所在直线方程分别为x+5y-3=0和x+y-1=0,边AB所在直线方程x+3y-1=0,求直线BC,CA及AB边上的高所在直线方程.
在△ABC中,已知lgsinA-lgcosB-lgsinC=lg2,则三角形一定是( )
A.等腰三角形
B.等边三角形
C.直角三角形
D.钝角三角形
在△ABC中,已知b=1,c=3,A=120°,则a=
.
关 闭
试题分类
高中
数学
英语
物理
化学
生物
地理
初中
数学
英语
物理
化学
生物
地理
小学
数学
英语
其他
阅读理解答案
已回答习题
未回答习题
题目汇总
试卷汇总
练习册解析答案