题目内容
已知椭圆的两个焦点坐标分别为(0,-2),(0,2),并且经过点(-A.
B.
C.
D.
【答案】分析:设出椭圆方程,利用椭圆的两个焦点坐标分别为(0,-2),(0,2),并且经过点(-
,-
),建立方程组,求得几何量,即可求出椭圆的方程.
解答:解:由题意,设椭圆的方程为
∵椭圆的两个焦点坐标分别为(0,-2),(0,2),并且经过点(-
,-
),
∴
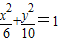
∴a2=10,b2=6
∴椭圆的方程是
故选D.
点评:本题考查椭圆的标准方程,考查椭圆的几何性质,考查学生的计算能力,属于基础题.
解答:解:由题意,设椭圆的方程为
∵椭圆的两个焦点坐标分别为(0,-2),(0,2),并且经过点(-
∴
∴a2=10,b2=6
∴椭圆的方程是
故选D.
点评:本题考查椭圆的标准方程,考查椭圆的几何性质,考查学生的计算能力,属于基础题.
练习册系列答案
相关题目