题目内容
已知双曲线
【答案】分析:先根据椭圆的方程求出焦点坐标,得到双曲线的c值,再由离心率求出a的值,最后根据b=
得到b的值,可得到渐近线的方程.
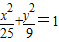
解答:解:∵椭圆
的焦点为(4,0)(-4,0),故双曲线中的c=4,且满足
=2,故a=2,
b=
,所以双曲线的渐近线方程为y=±
=±
x
故答案为:y=
x
点评:本题主要考查圆锥曲线的基本元素之间的关系问题,同时双曲线、椭圆的相应知识也进行了综合性考查.
解答:解:∵椭圆
b=
故答案为:y=
点评:本题主要考查圆锥曲线的基本元素之间的关系问题,同时双曲线、椭圆的相应知识也进行了综合性考查.
练习册系列答案
相关题目
已知双曲线的离心率为2,焦点是(-4,0),(4,0),则双曲线方程为( )
A、
| ||||
B、
| ||||
C、
| ||||
D、
|