题目内容
已知平面向量
,
,满足
,
,
,则
=( )
A. 2 B. 3 C. 4 D. 6
【答案】
B
【解析】
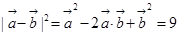
试题分析:由
知
,
,所以
,所以
,那么就有
.
考点:平面向量的综合运用.
练习册系列答案
相关题目
题目内容
已知平面向量
,
,满足
,
,
,则
=( )
A. 2 B. 3 C. 4 D. 6
B
【解析】
试题分析:由
知
,
,所以
,所以
,那么就有
.
考点:平面向量的综合运用.