题目内容
已知函数f(x)=(x+5)(x+2),g(x)=x+1.(1)若x>-1,求函数
(2)若不等式f(x)>ag(x)在x∈[-2,2]上恒成立,求实数a的取值范围.
【答案】分析:(1)
,设x+1=t,由x>-1,知t>0,由此利用均值定理能求出y的最小值.
(2)f(x)>ag(x),即x2+(7-a)x+10-a>0,设h(x)=x2+(7-a)x+10-a,则不等式f(x)>ag(x)在x∈[-2,2]上恒成立等价于h(x)在x∈[-2,2]上恒大于0.由此能求出a的取值范围.
解答:解:(1)∵f(x)=(x+5)(x+2),g(x)=x+1,
∴
,
设x+1=t,∵x>-1,∴t>0
原式化为
当且仅当
,即t=2时取等号,
∴当x=1时y取最小值9. …(6分)
(2)f(x)>ag(x),即x2+(7-a)x+10-a>0,
设h(x)=x2+(7-a)x+10-a,
则不等式f(x)>ag(x)在x∈[-2,2]上恒成立等价于h(x)在x∈[-2,2]上恒大于0.
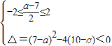
等价于
或
或
解得0<a<9,
故a的取值范围为(0,9).…(12分)
点评:本题考查函数的最小值的求法,考查满足条件的实数的取值范围的求法.解题时要认真审题,仔细解答,注意均值定理、分类讨论思想、等价转化思想的合理运用.
(2)f(x)>ag(x),即x2+(7-a)x+10-a>0,设h(x)=x2+(7-a)x+10-a,则不等式f(x)>ag(x)在x∈[-2,2]上恒成立等价于h(x)在x∈[-2,2]上恒大于0.由此能求出a的取值范围.
解答:解:(1)∵f(x)=(x+5)(x+2),g(x)=x+1,
∴
设x+1=t,∵x>-1,∴t>0
原式化为
当且仅当
∴当x=1时y取最小值9. …(6分)
(2)f(x)>ag(x),即x2+(7-a)x+10-a>0,
设h(x)=x2+(7-a)x+10-a,
则不等式f(x)>ag(x)在x∈[-2,2]上恒成立等价于h(x)在x∈[-2,2]上恒大于0.
等价于
解得0<a<9,
故a的取值范围为(0,9).…(12分)
点评:本题考查函数的最小值的求法,考查满足条件的实数的取值范围的求法.解题时要认真审题,仔细解答,注意均值定理、分类讨论思想、等价转化思想的合理运用.
练习册系列答案
相关题目
已知函数f(x)=x2-bx的图象在点A(1,f(1))处的切线l与直线3x-y+2=0平行,若数列{
}的前n项和为Sn,则S2010的值为( )
| 1 |
| f(n) |
A、
| ||
B、
| ||
C、
| ||
D、
|