题目内容
已知二次函数f(x)的二次项系数为a,满足不等式f(x)>-2x的解集为(1,3),且方程f(x)+6a=0有两个相等实根,求f(x)的解析式.
【答案】分析:依据不等式f(x)>-2x的解集为(1,3),可设函数f(x)-2x的解析式为f(x)+2x=a(x-1)(x-3),得出f(x)的解析式.再利用f(x)+6a=0有两个相等的实数根,通过△=0求出a的值最后代入f(x)即可得出答案.
解答:解:∵f(x)与f(x)+2x的二次项系数相等,
∴f(x)+2x的二次项系数为a.
又∵f(x)+2x>0的解集为(1,3),
∴设f(x)+2x=a(x-1)(x-3)(a<0),
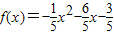
∴f(x)=a(x2-4x+3)-2x=ax2-(4a+2)x+3a.
∵方程f(x)+6a=0有两个相等实根
∴ax2-(4a+2)x+9a=0有两个相等实根.
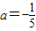
∴[-(4a+2)]2-36a2=0,解得a=1(舍去),
∴
点评:本题主要考查用待定系数法求函数解析式的问题.属基础题.
解答:解:∵f(x)与f(x)+2x的二次项系数相等,
∴f(x)+2x的二次项系数为a.
又∵f(x)+2x>0的解集为(1,3),
∴设f(x)+2x=a(x-1)(x-3)(a<0),
∴f(x)=a(x2-4x+3)-2x=ax2-(4a+2)x+3a.
∵方程f(x)+6a=0有两个相等实根
∴ax2-(4a+2)x+9a=0有两个相等实根.
∴[-(4a+2)]2-36a2=0,解得a=1(舍去),
∴
点评:本题主要考查用待定系数法求函数解析式的问题.属基础题.
练习册系列答案
相关题目