题目内容
已知函数
(
).
(1)求函数
的最小正周期;
(2)求函数
在区间
上的值域.
【答案】
(1)
;(2)
.
【解析】
试题分析:(1)利用三角函数公式化简为一个角的三角函数式,易得周期;(2)把x的取值范围代入(1)所求函数的解析式中,可得值域(注意函数的单调性).
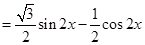
试题解析:(1)![]()
![]()
![]()
![]()
(4分)
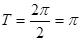
的最小正周期为
;
(6分)
(2)由(1)知,![]()
![]()
在区间
上单调递增,
在区间
上单调递减; (10分)
; (12分)
又
,
;
所以函数
在区间
上的值域是
(15分)
考点:1、和差化积公式及二倍角公式;2三角函数的单调性及值域.
练习册系列答案
相关题目
| π |
| 2 |
A、f(x)=2sin(
| ||||
B、f(x)=2sin(
| ||||
C、f(x)=2sin(2x-
| ||||
D、f(x)=2sin(2x+
|