题目内容
已知双曲线
(
,
)满足
,且双曲线的右焦点与抛物线
的焦点重合,则该双曲线的方程为______________.
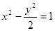
【答案】
![]()
【解析】
试题分析:抛物线
的焦点是
,说明双曲线中有
,而
的关系是通过行列式给出的,我们要把它化为一般式,根据行列式的定义知
,再由
,得
,即得双曲线方程.
考点:抛物线的焦点,双曲线的标准方程.
练习册系列答案
相关题目
已知双曲线C:x2-
=1,过点P(1,1)作直线l,使l与C有且只有一个公共点,则满足上述条件的直线l共有( )
| y2 |
| 4 |
| A、1条 | B、2条 | C、3条 | D、4条 |