题目内容
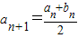
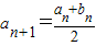
设数列{an}、{bn}满足a1=4,a2=(1)证明:an>2,0<bn<2(n∈N*);
(2)设cn=log3
(3)设数列{an}的前n项和为Sn,数列{bn}的前n项和为Tn,数列{anbn}的前n项和为{Pn},求证:Sn+Tn<Pn+
【答案】分析:(1)
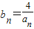
,bn+1=
,两式相乘得anbn=an+1bn+1,由此能够证明an>2,0<bn<2(n∈N*).
(2)由
,得
=2
,由此能够求出数列{cn}的通项公式.
(3)由
,知
=2(1+
)=2+
,令
,数列{dn}的前n项和为Dn,只要证明
,(n≥2),就能得到Sn+Tn<Pn+
.(n≥2)
解答:(本题满分16分)
(1)∵
,bn+1=
,
两式相乘得anbn=an+1bn+1,
∴{anbn}为常数列,∴anbn=a1b1=4;(2分)
∴
,
∴
,
∴0<bn<2;
(若an=2,则an+1=2,从而可得{an}为常数列与a1=4矛盾);(4分)
(2)∵
,
∴
=
=
=2
,
∴
=2,
∴{cn}为等比数列,
∵c1=1,∴
.(8分)
(3)由
,知
=2(1+
)=2+
,
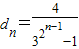
令
,数列{dn}的前n项和为Dn,很显然只要证明
,(n≥2),
∵n≥2,∴
.
∵
=
=
≤
,
∴dn=
≤
≤
≤…≤
d2,
所以Dn=d1+(d2+d3+…+dn)≤
≤2+
=2+
=
,
所以
.(14分)
又anbn=4,bn<2,故pn=4n,且Tn<2n,
所以
=4n+
=
,n≥2.(16分)
点评:本题考查不等式的证明和数列的通项公式的求法,综合性强,难度大,是高考重点,解题时要认真审题,仔细解答,注意合理地进行等价转化.
(2)由
(3)由
解答:(本题满分16分)
(1)∵
两式相乘得anbn=an+1bn+1,
∴{anbn}为常数列,∴anbn=a1b1=4;(2分)
∴
∴
∴0<bn<2;
(若an=2,则an+1=2,从而可得{an}为常数列与a1=4矛盾);(4分)
(2)∵
∴
=
=
=2
∴
∴{cn}为等比数列,
∵c1=1,∴
(3)由
令
∵n≥2,∴
∵
∴dn=
所以Dn=d1+(d2+d3+…+dn)≤
≤2+
所以
又anbn=4,bn<2,故pn=4n,且Tn<2n,
所以
点评:本题考查不等式的证明和数列的通项公式的求法,综合性强,难度大,是高考重点,解题时要认真审题,仔细解答,注意合理地进行等价转化.
练习册系列答案
相关题目