题目内容
已知直线x-2y+2=0经过椭圆(1)求椭圆C的方程;
(2)求线段MN的长度的最小值;
(3)当线段MN的长度最小时,在椭圆C上是否存在这样的点T,使得△TSB的面积为
【答案】分析:(1)因为直线过椭圆的左顶点与上顶点,故可解出直线与坐标轴的交点,即知椭圆的长半轴长与短半轴长,依定义写出椭圆的方程即可.
(2)法一、引入直线AS的斜率k,用点斜式写出直线AS的方程,与l的方程联立求出点M的坐标,以及点S的坐标,又点B的坐标已知,故可解 出直线SB的方程,亦用参数k表示的方程,使其与直线l联立,求出点N的坐标,故线段MN的长度可以表示成直线AS的斜率k的函数,根据其形式选择单调性法或者基本不等式法求最值,本题适合用基本不等式求最值.
法二、根据图形构造出了可用基本不等式的形式来求最值.
(3)在上一问的基础上求出参数k,则直线SB的方程已知,可求出线段AB的长度,若使面积为
,只须点T到直线BS的距离为
即可,由此问题转化为研究与直线SB平行且距离为
的直线与椭圆的交点个数问题,下易证
解答:
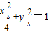
解:(1)由已知得,椭圆C的左顶点为A(-2,0),
上顶点为D(0,1),∴a=2,b=1
故椭圆C的方程为
(4分)
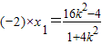
(2)依题意,直线AS的斜率k存在,且k>0,故可设直线AS的方程为y=k(x+2),从而
,由
得(1+4k2)x2+16k2x+16k2-4=0
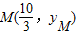
设S(x1,y1),则
得
,从而
即
,(6分)
又B(2,0)由
得
,
∴
,(8分)
故
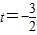
又k>0,∴
当且仅当
,即
时等号成立.
∴
时,线段MN的长度取最小值
(10分)
(2)另解:设S(xs,yS),
依题意,A,S,M三点共线,且所在直线斜率存在,
由kAM=kAS,可得
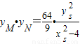
同理可得:
又
所以,
=
不仿设yM>0,yN<0
当且仅当yM=-yN时取等号,
即
时,线段MN的长度取最小值
.
(3)由(2)可知,当MN取最小值时,
此时BS的方程为
,∴
(11分)
要使椭圆C上存在点T,使得△TSB的面积等于
,只须T到直线BS的距离等于
,
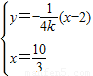
所以T在平行于BS且与BS距离等于
的直线l'上.
设直线l':x+y+t=0,则由
,解得
或
.
又因为T为直线l'与椭圆C的交点,所以经检验得
,此时点T有两个满足条件.(14分)
点评:本题是解析几何中直线与圆锥曲线位置关系中很复杂的题目,要求答题者拥有较高的探究转化能力以及对直线与圆锥曲线位置关系中特征有较好 的理解,且符号运算能力较强才能胜任此类题的解题工作,这是一个能力型的题,好题.
(2)法一、引入直线AS的斜率k,用点斜式写出直线AS的方程,与l的方程联立求出点M的坐标,以及点S的坐标,又点B的坐标已知,故可解 出直线SB的方程,亦用参数k表示的方程,使其与直线l联立,求出点N的坐标,故线段MN的长度可以表示成直线AS的斜率k的函数,根据其形式选择单调性法或者基本不等式法求最值,本题适合用基本不等式求最值.
法二、根据图形构造出了可用基本不等式的形式来求最值.
(3)在上一问的基础上求出参数k,则直线SB的方程已知,可求出线段AB的长度,若使面积为
解答:
上顶点为D(0,1),∴a=2,b=1
故椭圆C的方程为
(2)依题意,直线AS的斜率k存在,且k>0,故可设直线AS的方程为y=k(x+2),从而
设S(x1,y1),则
即
又B(2,0)由
∴
故
又k>0,∴
∴
(2)另解:设S(xs,yS),
由kAM=kAS,可得
所以,
即
(3)由(2)可知,当MN取最小值时,
此时BS的方程为
要使椭圆C上存在点T,使得△TSB的面积等于
所以T在平行于BS且与BS距离等于
设直线l':x+y+t=0,则由
又因为T为直线l'与椭圆C的交点,所以经检验得
点评:本题是解析几何中直线与圆锥曲线位置关系中很复杂的题目,要求答题者拥有较高的探究转化能力以及对直线与圆锥曲线位置关系中特征有较好 的理解,且符号运算能力较强才能胜任此类题的解题工作,这是一个能力型的题,好题.
练习册系列答案
相关题目