题目内容
一束光线从点F1(-1,0)出发,经直线l:2x-y+3=0上一点P反射后,恰好穿过点F2(1,0).(Ⅰ)求点F1关于直线l的对称点F1′的坐标;
(Ⅱ)求以F1、F2为焦点且过点P的椭圆C的方程;
(Ⅲ)设直线l与椭圆C的两条准线分别交于A、B两点,点Q为线段AB上的动点,求点Q 到F2的距离与到椭圆C右准线的距离之比的最小值,并求取得最小值时点Q的坐标.
【答案】分析:(Ⅰ)设F1‘的坐标为(m,n),则
且
.由此能求出点F1′的坐标.
(Ⅱ)由|PF1′|=|PF1|,得2a=|PF1′|+|PF2|=|F1F2|=
,由此能求出椭圆方程.
(Ⅲ)由
,知椭圆的准线方程为x=±2.设点Q的坐标为(t,2t+3)(-2<t<2),d1表示点Q到F2的距离,d2表示点Q到椭圆的右准线的距离.则
=
,令
,则
=
,由此能求出
最小值和此时点Q的坐标.
解答:解:(Ⅰ)设F1的坐标为(m,n),则
且
.
解得
,因此,点F1′的坐标为(-
).
(Ⅱ)∵|PF1′|=|PF1|,根据椭圆定义,
得2a=|PF1′|+|PF2|=|F1F2|=
,
∴
.∴所求椭圆方程为
.
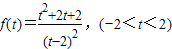
(Ⅲ)∵
,∴椭圆的准线方程为x=±2.
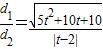
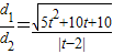
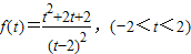
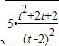
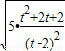
设点Q的坐标为(t,2t+3)(-2<t<2),d1表示点Q到F2的距离,d2表示点Q到椭圆的右准线的距离.
则
,d2=|t-2|.
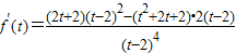
=
,令
,则
=
,
∵当
,
,t=-
,f′(t)>0.
∴f(t)在t=-
时取得最小值.
因此,
最小值=
,此时点Q的坐标为(-
)(14分)
点评:本题主要考查直线与圆锥曲线的综合应用能力,具体涉及到轨迹方程的求法及直线与椭圆的相关知识,解题时要灵活运用椭圆性质,注意合理地进行等价转化.
(Ⅱ)由|PF1′|=|PF1|,得2a=|PF1′|+|PF2|=|F1F2|=
(Ⅲ)由
解答:解:(Ⅰ)设F1的坐标为(m,n),则
解得
(Ⅱ)∵|PF1′|=|PF1|,根据椭圆定义,
得2a=|PF1′|+|PF2|=|F1F2|=
∴
(Ⅲ)∵
设点Q的坐标为(t,2t+3)(-2<t<2),d1表示点Q到F2的距离,d2表示点Q到椭圆的右准线的距离.
则
∵当
∴f(t)在t=-
因此,
点评:本题主要考查直线与圆锥曲线的综合应用能力,具体涉及到轨迹方程的求法及直线与椭圆的相关知识,解题时要灵活运用椭圆性质,注意合理地进行等价转化.
练习册系列答案
相关题目