题目内容
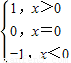
如果对于函数f(x)定义域内任意的x,都f(x)≥M(M为常数),称M为f(x)的下界,下界M中的最大值叫做f(x)的下确界.下列函数中,有下确界的函数是( )①f(x)=sinx ②f(x)=lgx ③f(x)=ex ④f(x)=
A.①②
B.①③
C.②③④
D.①③④
【答案】分析:本题考查的是函数的最值问题.在解答的过程当中,要先充分体会题目所给的新定义含义,然后针对所给的四个函数逐一进行验证即可.解答时要充分利用好函数的性质求解相应函数的最小值.
解答:解:对f(x)=sinx≥-1 在R上恒成立,所以此函数有下确界;
对f(x)=lgx∈R在(0,+∞)上恒成立,所以此函数无下确界;
对f(x)=ex∈(0,+∞)在R上恒成立,所以此函数有下确界;
对f(x)=
∈{-1,0,1}在(0,+∞)上恒成立,所以此函数有下确界;
综上可知①③④对应的函数都有下确界.
故选D.
点评:本题考查的是函数的最值和新定义相联系的综合类问题.在解答的过程当中充分体现了新定义问题的特点、问题转化的思想以及函数求最值的方法.值得同学们体会反思.
解答:解:对f(x)=sinx≥-1 在R上恒成立,所以此函数有下确界;
对f(x)=lgx∈R在(0,+∞)上恒成立,所以此函数无下确界;
对f(x)=ex∈(0,+∞)在R上恒成立,所以此函数有下确界;
对f(x)=
综上可知①③④对应的函数都有下确界.
故选D.
点评:本题考查的是函数的最值和新定义相联系的综合类问题.在解答的过程当中充分体现了新定义问题的特点、问题转化的思想以及函数求最值的方法.值得同学们体会反思.
练习册系列答案
相关题目