题目内容

(22)

已知数列{}中,在直线y=x上,其中n=1,2,3….

(Ⅰ)令

(Ⅱ)求数列

(Ⅲ)设的前n项和。是否存在实数,使得数列为等差数列?若存在,试求出;若不存在,则说明理由。

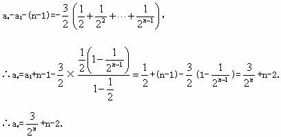
    (Ⅰ)由已知得  a1,2an+1=an+n,

    ∵a2=,a2-a1-1=--1=-

    又bn=an+1-an-1,

    ∴bn+1=an+2-an+1-1,

    ∴.

    ∴{bn}是以-为首项,以为公比的等比数列.

    (Ⅱ)由(I)知,bn=-×n-1=-×

    ∴an+1-an-1=-×

    ∴a2-a1-1=-×

    a3-a2-1=-×

    ……

    an-an-1-1=-×

    将以上各式相加得:

    (Ⅲ)解法一

    存在λ=2,使数列是等差数列.

    ∵Sn=a1+a2+…+an=3+(1+2+…+n)-2n

        =3×-2n

        =3+3.

   

Tn=b1+b2+…+bn=.

    数列是等差数列的充要条件是=An+B,(A、B是常数)

    即Sn+λTn=An2+Bn,

    又Sn+λTn=-+3+λ(-)

             =+3(1-)(1-)

    ∴当且仅当1-=0,即λ=2时,数列为等差数列.

    解法二:

    存在λ=2,使数列是等差数列.

    由(Ⅰ)、(Ⅱ)知,an+2bn=n-2

    ∴Sn+2Tn=-2n

    ∴

               =Tn

  

  又TN=b1+b2+…+bn=

    ∴

    ∴当且仅当λ=2时,数列是等差数列.


练习册系列答案
相关题目

违法和不良信息举报电话:027-86699610 举报邮箱:58377363@163.com

精英家教网