题目内容

数列{an}的前n项和记为Sn,已知a1=1,an+1=Sn(n=1,2,3,…).

证明:(1).数列{}是等比数列;

(2).Sn+1=4an

答案:
解析:

  证明:(1).数列{}是等比数列;

  (2).Sn+1=4an

  (1)由得: 即

  所以 所以数列是以1为首项,公比为2的等比数列.

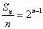
  (2)由(1)得  

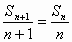
  所以

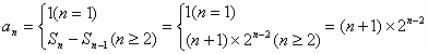
  所以


练习册系列答案
相关题目

违法和不良信息举报电话:027-86699610 举报邮箱:58377363@163.com

精英家教网