搜索
题目内容
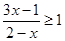
不等式
的解集是( )
A.
B.
C.
D.
试题答案
相关练习册答案
B
解析
考点:分式不等式
由
,可得
,通分,得
,所以
且
,解得
,选B.
点评:此题为解分式不等式基本题型,属基础题.
练习册系列答案
名校学案高效课时通系列答案
小题狂做系列答案
桂壮红皮书单元达标卷系列答案
一课一案创新导学系列答案
课堂制胜课时作业系列答案
名师计划高效课堂系列答案
练习新方案系列答案
新评价单元检测创新评价系列答案
新课标单元测试卷系列答案
形成性练习与检测系列答案
相关题目
已知不等式kx
2
-2x+6k<0,若不等式的解集是R,则k的取值范围( )
A.
(-∞,-
6
6
)∪(
6
6
,+∞)
B.
(-
6
6
,
6
6
)
C.
(-∞,-
6
6
)
D.
(
6
6
,+∞)
当x=3时,不等式log
a
(x
2
-x-2)>log
a
(4x-6)(a>0且a≠1)成立,则此不等式的解集是
{x|2<x<4,x∈R}
{x|2<x<4,x∈R}
.
下列不等式的解集是空集的是( )
不等式的解集是
2x-1
x
2
+x+1
≥1的解集是
∅
∅
.
已知关于x的不等式ax
2
-(a+1)x+b<0
(1)若不等式的解集是{x|1<x<5},求a+b的值;
(2)若a≠0,b=1,求此不等式的解集.
关 闭
试题分类
高中
数学
英语
物理
化学
生物
地理
初中
数学
英语
物理
化学
生物
地理
小学
数学
英语
其他
阅读理解答案
已回答习题
未回答习题
题目汇总
试卷汇总
练习册解析答案