题目内容

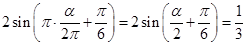
已知函数的部分图象如图所示.

(1)试确定函数的解析式;

(2)若,求的值.

 

【答案】

(1);(2).

【解析】

试题分析:(1)先根据图象的最值求出,然后根据图象信息求出最小正周期,利用周期公式求出的值,再根据顶点或对称中心点并结合的取值范围求出的值,最终确定的解析式;(2)先由求出的值,并确定角与角之间的关系,并将转化为的值,最后利用二倍角公式求出的值.

试题解析:(1)由图象知,

设函数的最小正周期为,则,所以

故函数

,所以

,即,所以,故,解得

所以

(2),即,所以

所以.

考点:1.三角函数的图象;2.二倍角公式

 

练习册系列答案
相关题目

违法和不良信息举报电话:027-86699610 举报邮箱:58377363@163.com

精英家教网