题目内容

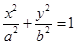
已知椭圆C的中心在坐标原点,短轴长为4,且有一个焦点与抛物线的焦点重合.

(Ⅰ)求椭圆C的方程;

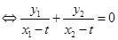
(Ⅱ)已知经过定点M(2,0)且斜率不为0的直线交椭圆C于A、B两点,试问在x轴上是否另存在一个定点P使得始终平分?若存在,求出点坐标;若不存在,请说明理由.

 

【答案】

(Ⅰ) ;(Ⅱ) .

【解析】

试题分析:(Ⅰ)设椭圆的标准方程为:,先由已知条件“短轴长为”,求得,再由已知条件“有一个焦点与抛物线的焦点重合”,求得,则,从而得到椭圆方程;(Ⅱ)设直线方程为:,与椭圆方程联立方程组求得(※),假设存在定点使得始终平分,则有,将对应点的坐标代入,结合直线方程以及(※)化简求得,从而无论如何取值,只要就可保证式子成立,进而得出点坐标.

试题解析:(Ⅰ)∵椭圆的短轴长为

,解得

又抛物线的焦点为

,则

∴所求椭圆方程为:

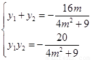
(Ⅱ)设,代入椭圆方程整理得:

,假设存在定点使得始终平分

①,

要使得①对于恒成立,则

故存在定点使得始终平分,它的坐标为

考点:1.椭圆的标准方程;2.抛物线的性质;3.根与系数的关系

 

练习册系列答案
相关题目

违法和不良信息举报电话:027-86699610 举报邮箱:58377363@163.com

精英家教网