题目内容
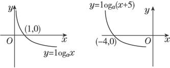
若0<a<1,则函数y=loga(x+5)的图象不经过( )A.第一象限 B.第二象限 C.第三象限 D.第四象限
提示:∵0<a<1,先作出y=logax的图象,再将y=logax的图象向左平移5个单位得到y=loga(x+5)的图象,由此得出y=loga(x+5)的图象不经过第一象限.故选A. 答案:A
![]()
练习册系列答案
欢乐岛暑假小小练系列答案
过好暑假每一天系列答案
暑假生活学习与生活系列答案
小学升初中衔接教材中南大学出版社系列答案
暑假衔接起跑线系列答案
暑假直通车系列答案
快乐暑假甘肃少年儿童出版社系列答案
学习总动员暑假总复习系列答案
暑假一本通内蒙古大学出版社系列答案
轻松总复习假期作业系列答案
相关题目
若0<a<1,则函数f(x)=
的图象的大致形状是( )
| xax |
| |x| |
| A、 |
| B、 |
| C、 |
| D、 |