题目内容
在△ABC中,若a2=b2+bc+c2,则A=( )A.30°
B.60°
C.120°
D.150°
【答案】分析:本题考查的知识点是余弦定理,观察到已知条件是“在△ABC中,求A角”,固这应该是一个解三角形问题,又注意到a2=b2+bc+c2给出的三角形三边的关系,利用余弦定理解题比较恰当.
解答:解:∵a2=b2+bc+c2
∴-bc=b2+c2-a2
由余弦定理的推论得:

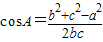
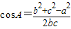
=
=
又∵A为三角形内角
∴A=120°
故选C
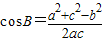
点评:余弦定理:
a2=b2+c2-2bccosA,
b2=a2+c2-2accosB,
c2=a2+b2-2abcosC.
余弦定理可以变形为:


解答:解:∵a2=b2+bc+c2
∴-bc=b2+c2-a2
由余弦定理的推论得:
=
又∵A为三角形内角
∴A=120°
故选C
点评:余弦定理:
a2=b2+c2-2bccosA,
b2=a2+c2-2accosB,
c2=a2+b2-2abcosC.
余弦定理可以变形为:
练习册系列答案
相关题目
在△ABC中,若a2=b2+bc+c2,则A=( )
| A、30° | B、60° | C、120° | D、150° |