题目内容

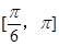
函数的值域是              .

 

【答案】

【解析】

试题分析:求函数的值域之前,要先求函数的定义域,同时如能确定函数的单调性就更好了,本题中函数的定义域为,而本函数是减函数,故值域为

考点:反三角函数的值域.

 

练习册系列答案
相关题目

违法和不良信息举报电话:027-86699610 举报邮箱:58377363@163.com

精英家教网