题目内容
下列函数中,在其定义域内满足“对定义域内的任意x1,x2,当x1<x2时,都有f(x1)>f(x2)”的是( )A.f(x)=-x2+2x+1
B.f(x)=
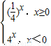
C.f(x)=
D.f(x)=ln(2-x)
【答案】分析:由题意可知:满足题意的函数在其定义域上单调递减.选项A,函数在(-∞,1)单调递增,在(1,+∞)上单调递减;选项B,在区间(-∞,0)和(0,+∞)均为减函数,但在整个定义域上没有单调性;选项C,在区间(-∞,0)上单调递增,在(0,+∞)上单调递减;选项D,由复合函数的单调性可知,其在整个的定义域上单调递减.
解答:解:由题意可知:满足题意的函数在其定义域上单调递减,
选项A,定义域为R,且图象为开口向下的抛物线,对称轴为x=1,故在(-∞,1)单调递增,在(1,+∞)上单调递减,故错误;
选项B,定义域为{x|x≠0},且在区间(-∞,0)和(0,+∞)均为减函数,但在整个定义域上没有单调性,故错误;
选项C,定义域为R,且f(x)=
=
,可知在区间(-∞,0)上单调递增,在(0,+∞)上单调递减,故错误;
选项D,函数的定义域为(-∞,2),由复合函数的单调性可知,其在整个的定义域上单调递减,故正确.
故选D
点评:本题实质为函数单调性的判断,熟记常用函数的单调性是解决问题的关键,属中档题.
解答:解:由题意可知:满足题意的函数在其定义域上单调递减,
选项A,定义域为R,且图象为开口向下的抛物线,对称轴为x=1,故在(-∞,1)单调递增,在(1,+∞)上单调递减,故错误;
选项B,定义域为{x|x≠0},且在区间(-∞,0)和(0,+∞)均为减函数,但在整个定义域上没有单调性,故错误;
选项C,定义域为R,且f(x)=
选项D,函数的定义域为(-∞,2),由复合函数的单调性可知,其在整个的定义域上单调递减,故正确.
故选D
点评:本题实质为函数单调性的判断,熟记常用函数的单调性是解决问题的关键,属中档题.
练习册系列答案
相关题目