题目内容
设A.
B.
C.
D.
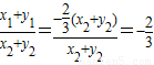
【答案】分析:由
,
,
可得
,则由向量共线定理可得,
从而有
,代入可求
解答:解:
,
,
,则
则由向量共线定理可得,

则
=
故选C.
点评:本题主要考查了向量共线定理的应用,解题的关键是要由已知
,
,
观察出向量
反向,从而可得坐标之间的关系,属于基本知识的简单运用.
从而有
解答:解:
则由向量共线定理可得,
则
故选C.
点评:本题主要考查了向量共线定理的应用,解题的关键是要由已知
练习册系列答案
相关题目
设
,
,若A?B,则a的取值范围是( )
| A. | B.(-∞,-1] | C. | D. |