题目内容
设等比数列{an}的公比为q,前n项和Sn>0(n=1,2,…).(Ⅰ)求q的取值范围;
(Ⅱ)设
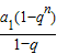
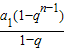
【答案】分析:(Ⅰ)设等比数列通式an=a1q(n-1),根据S1>0可知a1大于零,当q不等于1时,根据sn=
>0,进而可推知1-qn>0且1-q>0,或1-qn<0且1-q<0,进而求得q的范围,当q=1时仍满足条件,进而得到答案.
(Ⅱ)把an的通项公式代入,可得an和bn的关系,进而可知Tn和Sn的关系,再根据(1)中q的范围来判断Sn与Tn的大小.
解答:解:(Ⅰ)设等比数列通式an=a1q(n-1)
根据Sn>0,显然a1>0,
当q不等于1时,前n项和sn=
所以
>0 所以-1<q<0或0<q<1或q>1
当q=1时 仍满足条件
综上q>0或-1<q<0
(Ⅱ)∵
∴bn=
=anq2-
anq
=
an(2q2-3q)
∴Tn=
(2q2-3q)Sn
∴Tn-Sn=
Sn(2q2-3q-2)=
Sn(q-2)(2q+1)
又因为Sn>0,且-1<q<0或q>0,
所以,当-1<q<-
或q>2时,Tn-Sn>0,即Tn>Sn;
当-
<q<2且q≠0时,Tn-Sn<0,即Tn<Sn;
当q=-
,或q=2时,Tn-Sn=0,即Tn=Sn.
点评:本题主要考查了等比数列的性质.在解决数列比较大小的问题上,常利用到不等式的性质来解决.
(Ⅱ)把an的通项公式代入,可得an和bn的关系,进而可知Tn和Sn的关系,再根据(1)中q的范围来判断Sn与Tn的大小.
解答:解:(Ⅰ)设等比数列通式an=a1q(n-1)
根据Sn>0,显然a1>0,
当q不等于1时,前n项和sn=
所以
当q=1时 仍满足条件
综上q>0或-1<q<0
(Ⅱ)∵
∴bn=
=anq2-
=
∴Tn=
∴Tn-Sn=
又因为Sn>0,且-1<q<0或q>0,
所以,当-1<q<-
当-
当q=-
点评:本题主要考查了等比数列的性质.在解决数列比较大小的问题上,常利用到不等式的性质来解决.
练习册系列答案
相关题目
设等比数列{an}的前n项和为Sn,若8a2+a5=0,则下列式子中数值不能确定的是( )
A、
| ||
B、
| ||
C、
| ||
D、
|
设等比数列{an}的前n项和为Sn,若
=3,则
=( )
| S6 |
| S3 |
| S9 |
| S6 |
A、
| ||
B、
| ||
C、
| ||
| D、1 |