题目内容
已知函数(Ⅰ) 求k的值;
(Ⅱ) 若方程
【答案】分析:(I)由f(x)为偶函数,可得f(-x)=f(x),代入整理可求k
(II)依题意知:
=
(*)
令t=2x则*变为(1-a)t2+at+1=0只需其有一正根,根据二次方程的根的性质可求a的范围
解答:解:(I)因为f(x)为偶函数,
所以f(-x)=f(x)
∴
=
整理可得(2k+1)x=0
∴k=-
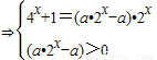
(II)依题意知:
=
(*)

令t=2x则*变为(1-a)t2+at+1=0只需其有一正根.
(1)a=1,t=-1不合题意
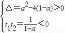
(2)(*)式有一正一负根
经验证满足a•2x-a>0∴a>1
(3)两相等
经验证a•2x-a>0
∴
综上所述a>1或
点评:本题主要考查了偶函数的定义的应用,二次方程的根的分布问题,要注意方程有一个正根与方程只要一个根是完全不同的概念.
(II)依题意知:
解答:解:(I)因为f(x)为偶函数,
所以f(-x)=f(x)
∴
整理可得(2k+1)x=0
∴k=-
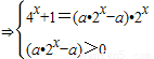
(II)依题意知:
令t=2x则*变为(1-a)t2+at+1=0只需其有一正根.
(1)a=1,t=-1不合题意
(2)(*)式有一正一负根
经验证满足a•2x-a>0∴a>1
(3)两相等
经验证a•2x-a>0
∴
综上所述a>1或
点评:本题主要考查了偶函数的定义的应用,二次方程的根的分布问题,要注意方程有一个正根与方程只要一个根是完全不同的概念.
练习册系列答案
相关题目