题目内容
在△ABC中,内角A、B、C的对边分别为a、b、c,已知
.
(Ⅰ)求
的值;
(Ⅱ)若cosB=
,b=2, 求△ABC的面积S.
(Ⅰ)求
(Ⅱ)若cosB=
(Ⅰ)由正弦定理得


所以
=
即
,
即有
,
即
,所以
=2.
(Ⅱ)由(Ⅰ)知:
=2,即c=2a,
又因为b=2,
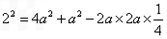
所以由余弦定理得:
,
即
,解得a=1,
所以c=2,
又因为cosB=
,所以sinB=
,
故
的面积为
=
.
所以
即
即有
即
(Ⅱ)由(Ⅰ)知:
又因为b=2,
所以由余弦定理得:
即
所以c=2,
又因为cosB=
故
练习册系列答案
相关题目