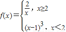
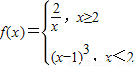
题目内容

已知函数若关于x 的方程f(x)=k有两个不同的实根,则数k的取值范围是   
【答案】分析:要求程f(x)=k有两个不同的实根时数k的取值范围,根据方程的根与对应函数零点的关系,我们可以转化为求函数y=f(x)与函数y=k交点的个数,我们画出函数的图象,数形结合即可求出答案.
解答:解:函数的图象如下图所示:
由函数图象可得当k∈(0,1)时
方程f(x)=k有两个不同的实根,
故答案为:(0,1)
点评:本题考查的知识点是根的存在性及根的个数判断,其中根据方程的根与对应函数零点的关系,将方程问题转化为函数问题是解答的关键.
练习册系列答案
相关题目

违法和不良信息举报电话:027-86699610 举报邮箱:58377363@163.com

精英家教网