题目内容
已知双曲线的中心在原点,左右焦点分别为F1,F2,离心率为(1)求此双曲线的标准方程;
(2)若直线系kx-y-3k+m=0(其中k为参数)所过的定点M恰在双曲线上,求证:F1M⊥F2M.
【答案】分析:(1)由题意双曲线的中心在原点,左右焦点分别为F1,F2,离心率为
,且过点
,可先根据离心率得出a,b的关系,设出双曲线的方程,代入点
,求出a,b的值,即可写出双曲线的标准方程;
(2)观察直线,发现这是一个直线系,将其化为k(x-3)-y+m=0,求出直线系过的定点,又此点在双曲线上,将其代入双曲线的标准方程可以求得m的值,由于本题要求证明两直线垂直,故可以求出两直线的斜率,验证其斜率的乘积为-1,从而证明出两直线垂直的关系.
解答:解:(1)∵
,∴
,∴c2=2a2=a2+b2,∴a=b,
∴设双曲线方程为x2-y2=a2(a>0),∵双曲线经过
,∴16-10=a2即a2=6,
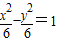
∴所求双曲线方程为
.----------(4分)
(2)∵直线系方程可化为k(x-3)-y+m=0
∴直线系过定点M(3,m).------------(5分)
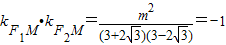
∵M(3,m)在双曲线上,∴9-m2=6,,∴m2=3
又双曲线焦点坐标为
,
∴
-----------(7分)
∴
∴F1M⊥F2M----------(10分)
点评:本题考查直线与圆锥曲线的关系,考查了求双曲线的标准方程,圆锥曲线的点与两焦点的连线互相垂直的证明,理解题意,选恰当的解决方法是解答本题的关键,本题考查了推理判断能力及符号计算能力,综合性强,是近几年解析几何考查觉了的题型
(2)观察直线,发现这是一个直线系,将其化为k(x-3)-y+m=0,求出直线系过的定点,又此点在双曲线上,将其代入双曲线的标准方程可以求得m的值,由于本题要求证明两直线垂直,故可以求出两直线的斜率,验证其斜率的乘积为-1,从而证明出两直线垂直的关系.
解答:解:(1)∵
∴设双曲线方程为x2-y2=a2(a>0),∵双曲线经过
∴所求双曲线方程为
(2)∵直线系方程可化为k(x-3)-y+m=0
∴直线系过定点M(3,m).------------(5分)
∵M(3,m)在双曲线上,∴9-m2=6,,∴m2=3
又双曲线焦点坐标为
∴
∴
点评:本题考查直线与圆锥曲线的关系,考查了求双曲线的标准方程,圆锥曲线的点与两焦点的连线互相垂直的证明,理解题意,选恰当的解决方法是解答本题的关键,本题考查了推理判断能力及符号计算能力,综合性强,是近几年解析几何考查觉了的题型
练习册系列答案
相关题目