题目内容
三个数成等比数列,其积为512,如果这三个数分别减去2、0、2之后,则新的三个数又成等差数列,求原来的三个数.
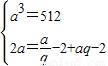
【答案】分析:设所求的三个数为
,a,aq,由题设知
,由此能求出原来的三个数.
解答:解:设所求的三个数为
,a,aq,
由题设知
,
解得a=8,q=2,或a=8,q=
.
∴原来的三个数是4,8,16或16,8,4.
点评:本题考查等差数列和等比数列的综合应用,解题时要认真审题,仔细解答,注意等价转化思想的合理运用.
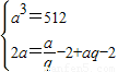
解答:解:设所求的三个数为
由题设知
解得a=8,q=2,或a=8,q=
∴原来的三个数是4,8,16或16,8,4.
点评:本题考查等差数列和等比数列的综合应用,解题时要认真审题,仔细解答,注意等价转化思想的合理运用.
练习册系列答案
相关题目