题目内容
已知两个等差数列{an}和{bn}的前n项和分别为An和Bn,且A.2
B.3
C.4
D.5
【答案】分析:充分利用等差数列前n项和与某些特殊项之间的关系解题.
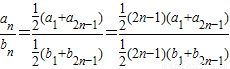
解答:解:由等差数列的前n项和及等差中项,可得
=
(n∈N*),
故n=1,2,3,5,11时,
为整数.故选D
点评:本题主要考查等差数列的性质、等差中项的综合应用以及分离常数法,数的整除性是传统问题的进一步深化,对教学研究有很好的启示作用.
已知两个等差数列{an}和{bn}的前n项和分别为An和Bn,则有如下关系
=
.
解答:解:由等差数列的前n项和及等差中项,可得
故n=1,2,3,5,11时,
点评:本题主要考查等差数列的性质、等差中项的综合应用以及分离常数法,数的整除性是传统问题的进一步深化,对教学研究有很好的启示作用.
已知两个等差数列{an}和{bn}的前n项和分别为An和Bn,则有如下关系
练习册系列答案
相关题目