题目内容
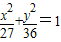
双曲线与椭圆
【答案】分析:根据已知中双曲线与椭圆
有相同焦点,我们可以设出双曲线的标准方程(含参数a),然后根据经过点
,得到一个关于a的方程,解方程,即可得到a2的值,进而得到双曲线的方程.
解答:解:椭圆
的焦点为(0,±3),即c=3,
设双曲线方程为
过点(
),则
,
得a2=4或a2=36,而a2<9,
∴a2=4,双曲线方程为
点评:本题考查的知识点是双曲线的标准方程,其中根据已知条件设出双曲线的标准方程(含参数a),并构造一个关于a的方程,是解答本题的关键.
解答:解:椭圆
设双曲线方程为
过点(
得a2=4或a2=36,而a2<9,
∴a2=4,双曲线方程为
点评:本题考查的知识点是双曲线的标准方程,其中根据已知条件设出双曲线的标准方程(含参数a),并构造一个关于a的方程,是解答本题的关键.
练习册系列答案
相关题目