题目内容
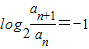
已知数列{an}的各项均为正数,其前n项和是Sn,若{log2an}是公差为-1的等差数列,且A.
B.
C.
D.
【答案】分析:由给出的{log2an}是公差为-1的等差数列,列式后整理得到数列{an}为等比数列,再根据
,列出等比数列的前6项和公式后可求a1.
解答:解:由{log2an}是公差为-1的等差数列,
得:log2an+1-log2an=-1,
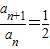
即
,所以,
,
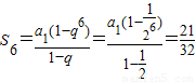
则数列{an}是以
为公比的等比数列,
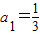
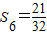
又
,
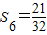
所以
,
解得:
.
故选D.
点评:本题考查了等差数列的通项公式,考查了对数式的运算性质,考查了等比数列的前n项和公式,训练了学生的计算能力,此题是中档题.
解答:解:由{log2an}是公差为-1的等差数列,
得:log2an+1-log2an=-1,
即
则数列{an}是以
又
所以
解得:
故选D.
点评:本题考查了等差数列的通项公式,考查了对数式的运算性质,考查了等比数列的前n项和公式,训练了学生的计算能力,此题是中档题.
练习册系列答案
相关题目