题目内容

已知圆C:(x+1)2+y2=25及点A(1,0),Q为圆上一点,AQ的垂直平分线交CQ于M,则点M的轨迹方程为   
【答案】分析:根据线段中垂线的性质可得,|MA|=|MQ|,又|MQ|+|MC|=半径5,故有|MC|+|MA|=5>|AC|,根据椭圆的定义判断轨迹椭圆,求出a、b值,即得椭圆的标准方程.
解答:解:由圆的方程可知,圆心C(-1,0),半径等于5,设点M的坐标为(x,y ),∵AQ的垂直平分线交CQ于M,
∴|MA|=|MQ|. 又|MQ|+|MC|=半径5,∴|MC|+|MA|=5>|AC|.依据椭圆的定义可得,
点M的轨迹是以 A、C 为焦点的椭圆,且 2a=5,c=1,∴b=
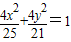
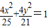
故椭圆方程为 ,即
故答案为
点评:本题考查椭圆的定义、椭圆的标准方程,得出|MC|+|MA|=5>|AC|,是解题的关键和难点.
练习册系列答案
相关题目

违法和不良信息举报电话:027-86699610 举报邮箱:58377363@163.com

精英家教网