题目内容
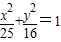
已知椭圆A.9
B.7
C.5
D.3
【答案】分析:由椭圆方程找出a的值,根据椭圆的定义可知椭圆上的点到两焦点的距离之和为常数2a,把a的值代入即可求出常数的值得到P到两焦点的距离之和,由P到一个焦点的距离为3,求出P到另一焦点的距离即可.
解答:解:由椭圆
,得a=5,
则2a=10,且点P到椭圆一焦点的距离为3,
由定义得点P到另一焦点的距离为2a-3=10-3=7.
故选B
点评:此题考查学生掌握椭圆的定义及简单的性质,是一道中档题.
解答:解:由椭圆
则2a=10,且点P到椭圆一焦点的距离为3,
由定义得点P到另一焦点的距离为2a-3=10-3=7.
故选B
点评:此题考查学生掌握椭圆的定义及简单的性质,是一道中档题.
练习册系列答案
相关题目