题目内容
已知函数f(x)=ax2+bx+1(a,b为实数),x∈R,(1)若f(x)有一个零点为-1,且函数f(x)的值域为[0,+∞),求f(x)的解析式;
(2)在(1)的条件下,当x∈[-2,2]时,g(x)=f(x)-kx是单调函数,求实数k的取值范围.
【答案】分析:(1)由f(-1)=0,可得a-b+1=0,又函数f(x)的值域为[0,+∞),可得二次函数的对称轴,从而可求出a,b的值;
(2)由(1)可知f(x)=x2+2x+1,可得g(x)=x2+(2-k)x+1,由g(x)在x∈[-2,2]时是单调函数,可得
,从而得出
,解之即可得出k的取值范围.
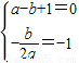
解答:解:(1)由题意得:
解得:
所以:f(x)=x2+2x+1 …(6分)
(2)由(1)得g(x)=x2+(2-k)x+1当x∈[-2,2]时,g(x)是单调函数的充要条件是:
,
-
或
解得:k≥6或k≤-2 …(12分)
点评:本题考查了函数的恒成立问题及函数单调性的应用,难度一般,关键是掌握函数单调性的应用.
(2)由(1)可知f(x)=x2+2x+1,可得g(x)=x2+(2-k)x+1,由g(x)在x∈[-2,2]时是单调函数,可得
解答:解:(1)由题意得:
所以:f(x)=x2+2x+1 …(6分)
(2)由(1)得g(x)=x2+(2-k)x+1当x∈[-2,2]时,g(x)是单调函数的充要条件是:
-
解得:k≥6或k≤-2 …(12分)
点评:本题考查了函数的恒成立问题及函数单调性的应用,难度一般,关键是掌握函数单调性的应用.
练习册系列答案
相关题目