题目内容
(选做题)已知函数f(x)=|2x-a|+a,
(1)若不等式f(x)≤6的解集为{x|-2≤x≤3},求实数a的值;
(2)在(1)的条件下,若存在实数n使f(n)≤m-f(-n)成立,求实数m的取值范围。
(1)若不等式f(x)≤6的解集为{x|-2≤x≤3},求实数a的值;
(2)在(1)的条件下,若存在实数n使f(n)≤m-f(-n)成立,求实数m的取值范围。
解:(1)由
得
,
∴
,
即
,
∴
,
∴
。
(2)由(1)知
,
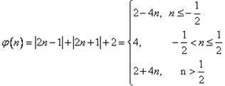
令
,
则
,
∴
的最小值为4,
故实数m的取值范围是
。
∴
即
∴
∴
(2)由(1)知
令
则
∴
故实数m的取值范围是
练习册系列答案
相关题目