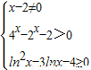
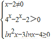
题目内容

函数f(x)=•lg(4x-2x-2)+的定义域为( )
A.[e4,+∞)
B.(1,2)∪(2,e4]
C.[e4,+∞)∪(0,]
D.[,2)∪(2,e4]
【答案】分析:由函数的解析式可得,化简可得,由此解得x的范围,即可求得函数的定义域.
解答:解:由函数的解析式可得,即,∴,解得x≥e4
故函数的定义域为[e4,+∞),
故选A.
点评:本题主要考查求函数的定义域,指数不等式、对数不等式的解法,属于中档题.
练习册系列答案
相关题目

违法和不良信息举报电话:027-86699610 举报邮箱:58377363@163.com

精英家教网