题目内容
设C1,C2,…,Cn,…是坐标平面上的一列圆,它们的圆心都在x轴的正半轴上,且都与直线(Ⅰ)证明:{rn}为等比数列;
(Ⅱ)设r1=1,求数列
【答案】分析:(1)求直线倾斜角的正弦,设Cn的圆心为(λn,0),得λn=2rn,同理得λn+1=2rn+1,结合两圆相切得圆心距与半径间的关系,得两圆半径之间的关系,即{rn}中rn+1与rn的关系,证明{rn}为等比数列;
(2)利用(1)的结论求{rn}的通项公式,代入数列
,然后用错位相减法求和.
解答:解:(1)将直线y=
x的倾斜角记为,则有tanθ=
,sinθ=
,
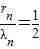
设Cn的圆心为(λn,0),则由题意得知
,得λn=2rn;同理
λn+1=2rn+1,从而λn+1=λn+rn+rn+1=2rn+1,将λn=2rn代入,
解得rn+1=3rn
故|rn|为公比q=3的等比数列.
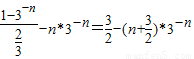
(Ⅱ)由于r1=1,q=3,故rn=3n-1,从而
,
记
,
则有Sn=1+2•3-1+3•3-2+…+n•31-n

①-②,得
=
,
∴
点评:本题考查等比数列的基本知识,利用错位相减法求和等基本方法,考查抽象概括能力以及推理论证能力.对于数列与几何图形相结合的问题,通常利用几何知识,并结合图形,得出关于数列相邻项an与an+1之间的关系,然后根据这个递推关系,结合所求内容变形,得出通项公式或其他所求结论.对于数列求和问题,若数列的通项公式由等差与等比数列的积构成的数列时,通常是利用前n项和Sn乘以公比,然后错位相减解决.
(2)利用(1)的结论求{rn}的通项公式,代入数列
解答:解:(1)将直线y=
设Cn的圆心为(λn,0),则由题意得知
λn+1=2rn+1,从而λn+1=λn+rn+rn+1=2rn+1,将λn=2rn代入,
解得rn+1=3rn
故|rn|为公比q=3的等比数列.
(Ⅱ)由于r1=1,q=3,故rn=3n-1,从而
记
则有Sn=1+2•3-1+3•3-2+…+n•31-n
①-②,得
=
∴
点评:本题考查等比数列的基本知识,利用错位相减法求和等基本方法,考查抽象概括能力以及推理论证能力.对于数列与几何图形相结合的问题,通常利用几何知识,并结合图形,得出关于数列相邻项an与an+1之间的关系,然后根据这个递推关系,结合所求内容变形,得出通项公式或其他所求结论.对于数列求和问题,若数列的通项公式由等差与等比数列的积构成的数列时,通常是利用前n项和Sn乘以公比,然后错位相减解决.
练习册系列答案
相关题目