搜索
题目内容
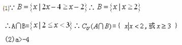
设全集U=R,集合
,
(1)求
;
(2)若集合
=
,满足
,求实数
的取值范围.
试题答案
相关练习册答案
练习册系列答案
名校课堂系列答案
西城学科专项测试系列答案
小考必做系列答案
小考实战系列答案
小考复习精要系列答案
小考总动员系列答案
小升初必备冲刺48天系列答案
68所名校图书小升初高分夺冠真卷系列答案
伴你成长周周练月月测系列答案
小升初金卷导练系列答案
相关题目
1、设全集U=R,集合A={x|x>3或x<-1},B={x|x>0},则(C
U
A)∩B=( )
A、(0,3)
B、(3,+∞)
C、(0,3]
D、(-∞,-1)
设全集U=R,集合M={x|x>0},N={x|x
2
≥x},则下列关系中正确的是( )
A.M∪N?M
B.M∪N=R
C.M∩N∈M
D.(?
U
M)∩N=?
(2013•杭州二模)设全集U=R,集合A={x|x≤2},B={x|-1<x≤3},则(?
U
A)∪(?
U
B)=( )
A.{x|-1<x≤2}
B.{x|x≤-1或x>2}
C.{x|2<x<3}
D.{x|x>3}
(2011•重庆模拟)设全集U=R,集合A={x|log
0.5
x
≥-1},B={x||x|>1},则集合A∩C
u
B=( )
A.{x|0<x<1}
B.{x|0<x≤1}
C.{x|0<x<2}
D.{x|x≤1}
设全集U=R,集合A={x||2x-1|≤1},B={x|2x-4>x-2}.
(1)求?
U
(A∪B);
(2)若集合C={x|2x+a>0},满足B∪C=C,求实数a的取值范围.
关 闭
试题分类
高中
数学
英语
物理
化学
生物
地理
初中
数学
英语
物理
化学
生物
地理
小学
数学
英语
其他
阅读理解答案
已回答习题
未回答习题
题目汇总
试卷汇总
练习册解析答案