题目内容
已知定点F(0,1)和直线l1:y=-l,过定点F与直线l1相切的动圆圆心为点C.
(Ⅰ)求动点C的轨迹方程;
(Ⅱ)过点F的直线l2交轨迹于两点P,Q,交直线l1于点R,求
的最小值。
(Ⅰ)求动点C的轨迹方程;
(Ⅱ)过点F的直线l2交轨迹于两点P,Q,交直线l1于点R,求
解:(Ⅰ)由题设点C到点F的距离等于它到l1的距离,点C的轨迹是以F为焦点,l1为准线的抛物线,
所求轨迹的方程为x2=4y。
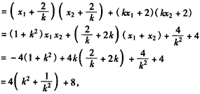
(Ⅱ)由题意直线l2的方程为y=kx+l,与抛物线方程联立,消去y,得x2-4kx-4=0,
记P(x1,y1),Q(x2,y2),
则x1+x2=4k,x1x2=-4,
因为直线PQ的斜率k≠0,易得点R的坐标为
,

∵
,当且仅当k2=1时取得等号,
∴
,即
的最小值为16。
所求轨迹的方程为x2=4y。
(Ⅱ)由题意直线l2的方程为y=kx+l,与抛物线方程联立,消去y,得x2-4kx-4=0,
记P(x1,y1),Q(x2,y2),
则x1+x2=4k,x1x2=-4,
因为直线PQ的斜率k≠0,易得点R的坐标为
∵
∴
练习册系列答案
相关题目