题目内容
已知数列{an}的各项均为正数,观察下面程序框图,(1)分别写出当k=2;k=3时,S的表达式.
(2)当输入a1=1,k=5,时,有
(3)在(2)的条件下,若令
【答案】分析:(1)当k=2;k=3时,框图分别执行了2次和3次运算,通过读图可以得到正确结果;
(2)当k=5时,框图执行5次运算,使输出的S为
,然后把该和式列项相消后化简,使和为
求出d的值,让后写出等差数列的通项公式;
(3)把an=2n-1代入
后得到一个等比数列,运用等比数列求和公式计算.
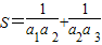
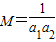
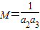
解答:解:(1)当k=2时,判断1<2,所以执行a2=a1+d,
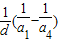
,S=0+M=
,
判断2≤2,执行a3=a2+d,
,
或S=
;
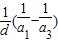
同理,当k=3时,
或S=
;
(2)当k=5,a1=1时,S=
,
又
,所以d=2,所以an=1+(n-1)×2=2n-1;
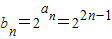
(3)由an=2n-1,所以
,
所以b1+b2+b3+…+bm=21+23+…+22m-1=
=
.
点评:本题考查了程序框图中的当型循环,同时考查了等差等比数列的运算,解答此题的关键是能够根据图表正确得到k取值时的和式,是中档题.
(2)当k=5时,框图执行5次运算,使输出的S为
(3)把an=2n-1代入
解答:解:(1)当k=2时,判断1<2,所以执行a2=a1+d,
判断2≤2,执行a3=a2+d,
或S=
同理,当k=3时,
或S=
(2)当k=5,a1=1时,S=
又
(3)由an=2n-1,所以
所以b1+b2+b3+…+bm=21+23+…+22m-1=
点评:本题考查了程序框图中的当型循环,同时考查了等差等比数列的运算,解答此题的关键是能够根据图表正确得到k取值时的和式,是中档题.
练习册系列答案
相关题目