题目内容
设a>0,(Ⅰ)求a的值;
(Ⅱ)证明:f(x)在(0,+∞)上是增函数.
【答案】分析:(1)根据偶函数的性质f(-x)=f(x),代入即可求出a的值;
(2)由(1)求出了f(x)的解析式,对f(x)进行求导,证明其导数大于0即可;
解答:解:(1)∵a>0,
是R上的偶函数.
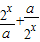
∴f(-x)=f(x),即
+
=
,
∴
+a•2x=
+
,
2x(a-
)+
(a-
)=0,
∴(a-
)(2x+
)=0,∵2x+
>0,a>0,
∴a-
=0,解得a=1,或a=-1(舍去),
∴a=1;
(2)证明:由(1)可知
,
∴
∵x>0,
∴22x>1,
∴f'(x)>0,
∴f(x)在(0,+∞)上单调递增;
点评:本题主要考查函数单调性的判断问题.函数的单调性判断一般有两种方法,即定义法和求导判断导数正负.
(2)由(1)求出了f(x)的解析式,对f(x)进行求导,证明其导数大于0即可;
解答:解:(1)∵a>0,
∴f(-x)=f(x),即
∴
2x(a-
∴(a-
∴a-
∴a=1;
(2)证明:由(1)可知
∴
∵x>0,
∴22x>1,
∴f'(x)>0,
∴f(x)在(0,+∞)上单调递增;
点评:本题主要考查函数单调性的判断问题.函数的单调性判断一般有两种方法,即定义法和求导判断导数正负.
练习册系列答案
相关题目