题目内容

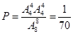
排一张4独唱和4个合唱的节目表,则合唱不在排头且任何两个合唱不相邻的概率是   (结果用最简分数表示).

 

【答案】

【解析】

试题分析:8个节目所有排法为,要求合唱不相邻,可先把4个独唱排列,有种排法,这里这4个独唱节目形成5个空档(包含前后两个),由于合唱不排排头,故4个合唱节目只有插进后面四个空档里,有种排法,这样总共有排法,从而所求概率为

考点:古典概型.

 

练习册系列答案
相关题目

违法和不良信息举报电话:027-86699610 举报邮箱:58377363@163.com

精英家教网