题目内容
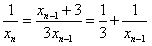
已知函数f(x)=
,数列{xn}的通项由xn=f(xn-1)(n≥2,且n∈N*)确定.
(1)求证:{
}是等差数列;
(2)当
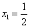
时,求x100.
(1)求证:{
(2)当
(1)证明:
(n≥2,n∈N*),
所以,
,
即
,(n≥2,n∈N*),
所以,数列{
}是等差数列。
(2)解:由(1)知{
}的公差为
,
又因为
,
所以,
,
所以
。
所以,
即
所以,数列{
(2)解:由(1)知{
又因为
所以,
所以
练习册系列答案
相关题目
已知函数f(x)=x2-bx的图象在点A(1,f(1))处的切线l与直线3x-y+2=0平行,若数列{
}的前n项和为Sn,则S2010的值为( )
| 1 |
| f(n) |
A、
| ||
B、
| ||
C、
| ||
D、
|