搜索
题目内容
中,若
,
,求:
的值。
(10分)
试题答案
相关练习册答案
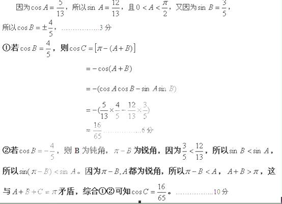
【答案】
【解析】略
练习册系列答案
寒假培优衔接系列答案
寒假培优衔接训练系列答案
寒假骑兵团学期总复习系列答案
寒假生活20天系列答案
寒假生活江西高校出版社系列答案
寒假生活三秦出版社系列答案
寒假生活上海专用系列答案
寒假生活阳光出版社系列答案
寒假生活指导系列答案
寒假特训系列答案
相关题目
在
△ABC
中,若
,
,求
cosC
的值.
在△
ABC
中,若
,
,求
cosC
的值.
在△ABC中,若
,
,求cosC的值.
中,若
,
,求:
的值。
(10分)
关 闭
试题分类
高中
数学
英语
物理
化学
生物
地理
初中
数学
英语
物理
化学
生物
地理
小学
数学
英语
其他
阅读理解答案
已回答习题
未回答习题
题目汇总
试卷汇总
练习册解析答案